Structure drawing workflow
Last updated on October 16, 2025
This workflow will show different ways to create a Structure Drawing for coumarin, as well as the ability to copy and paste it from external editors. It will also show how to add various query features to the drawing using the Reaxys structure editor Marvin JS from ChemAxon.
In this workflow we show examples that include:
- How to create a structure drawing from a substance name using Marvin JS.
- How to create a structure drawing from scratch using Marvin JS.
- How to copy and paste a structure drawing from an external structure editor to Reaxys Marvin JS.
- How to edit the structure by adding various query features.
How
Click the below topics to find steps and examples:
Open the structure editor
The 'Create Structure or Reaction Drawing' box On the Reaxys home page click the Create Structure or Reaction Drawing box to open the structure editor (Marvin JS from ChemAxon).The Marvin JS structure editor is displayed:
- Along the top is the General Toolbar which consists of tools that when used, are applied to every object on the canvas.
- On the left is the Tools Toolbar which includes tools to draw your structure.
- The Template Toolbar along the bottom contains predefined structures and building elements.
- The Atom Toolbar on the right is where you can find the atoms types.
- And in the center is the canvas where you construct your structure.
Overview of canvas with toolbars Create a coumarin structure as a template
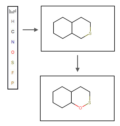
- Click 'Create structure template from name'.
- Type coumarin and enter.
Create structure template from name
A coumarin skeleton for the structure is displayed Edit the structure such that the –O-CO- group is replaced by –O-SO2-:
Change atoms as necessary
- Click ‘S’ in the atom toolbar, click the ‘C’ atom,
- Click ‘O’ in the atom toolbar, click the ‘CH2’ atom,
Change atoms
To add other features, go to Edit the structure by adding various query features.
To see another way to create the above drawing:
Open the structure editor
On the Reaxys home page click the Create Structure or Reaction Drawing box to open the structure editor (MarvinJS from ChemAxon).
The 'Create Structure or Reaction Drawing' box Draw the sulfocoumarin starting skeleton
- From the Template toolbar along the bottom, click the CycloHexane tool
- Click to place the structure in the Marvin JS editor window
- Append a second template to the existing one: click and drag on the canvas. A grey structure will appear to show the position of the new template. When the dragged substructure element gets close to the other, a purple highlight will appear on the atoms’ corners. Release your mouse button and the two bonds will automatically be merged together.
The sulfocoumarin starting skeleton Define atoms as necessary.
- Click ‘S’ in the atom toolbar, click the appropriate atom
- Click ‘O’ in the atom toolbar, click the appropriate atom
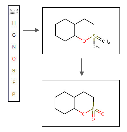
Define atoms Add two double bonds to the sulfur atom
- Click the Single bond tool
- Click the ‘S’ atom twice
- Click the two newly created bonds again to change them from single to double bonds.
Double bonds Change atoms as necessary
- Click ‘O’ in the atom toolbar, click each of the ‘CH2’ atoms
Change O atoms
To add other features, go to Edit the structure by adding various query features.
To see another way to create the above drawing:
Marvin JS from ChemAxon can accept structures copied from external structure editors such as ChemDraw.
Open the structure editor
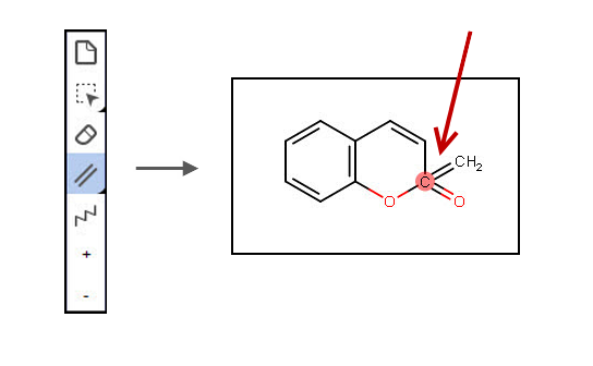
The 'Create Structure or Reaction Drawing' box Open the external structure editor (e.g. ChemDraw) and draw your desired structure or reaction query
Coumarin structure in Chemdraw editor - Select the structure or reaction, go to the Edit menu at the top and select ‘Copy As’.
- From the sub-menu select either ‘SMILES’ or ‘MOL Text’.
Copy as Paste the structure in Reaxys
- Return to Marvin JS in Reaxys and use the keyboard combination ‘Ctrl+v’ (paste) to insert the copied structure.
Structure pasted into Reaxys
To add other features, go to Edit the structure by adding various query features.
Add Bond Properties
- Using the selection tool, select the bonds shown below (you can use the Rectangle selection, the Freehand selection (as shown below) or use the shift key to multi-select)
- Right click the selected structure and click 'Bond properties'.
- Click the 'Type' drop-down.
- Click 'any' and 'Ok'.
Add Position Variation Bond
- Select the atoms shown below.
- Click the 'Position variation bond' tool from the toolbar.
Add the appropriate Reaxys Generic Group (G)
- Click the 'ALK…' tool.
- In the 'Acyclic' tab, click Any Group, in this case 'G'.
- Click the end of the Position Variation Bond (H3C) to change it to G.
Allow Substituents in 2 locations by labeling the atoms below
- Press ‘Esc’ on your keyboard to clear the previous selection.
- Select the two atoms shown.
- Right-click the selection and click 'Atom properties'.
- In the 'Advanced' tab, click the 'Substitutions(s)' drop-down.
- Click 'exactly' and set to '6'.
- Click 'Ok'.
Further refine your final query shown below
- In the Search this structure as: panel, there are three options:
- As drawn: Reaxys will find results for the query as drawn
- As substructure: Reaxys offers two sub-options:
Substructure options - On all atoms will substitute any explicit or implicit hydrogen with any other atom or group
- On heteroatoms will do the same but only on heteroatoms
- Similar: Reaxys will find results for a similarity search based on the drawn query
- If necessary, click 'As drawn' (the query already contains substructure search features that allow for a single substituent on the C6 ring, and any substituents on the two carbons marked (s6) shown in the other ring)
- In this example we are searching for the exact structure, therefore turn off all 'Include' features
Search the structure as drawn - Click 'Transfer to query' and click 'Search'.
The Results Preview is displayed.
For more information on using the Marvin JS structure editor see:
- Our video tutorial on creating a Structure Drawing.
- Our FAQ on adding abbreviated group templates.
- The ChemAxon Marvin JS website which includes a Marvin JS User’s Guide.
Did we answer your question?
Related answers
Recently viewed answers
Functionality disabled due to your cookie preferences
